Skip to content

Materiais geradores de energia

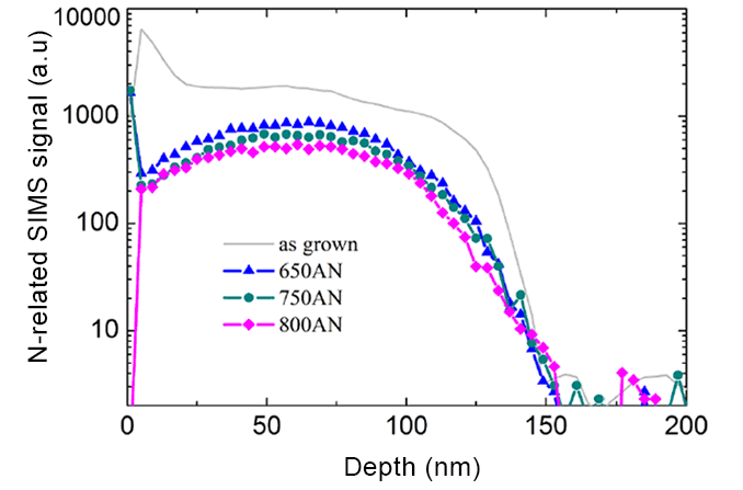
A CAMECA apoia a inovação no campo da energia renovável e iluminação LED: entre outras linhas de produtos, os instrumentos SIMS e APT são amplamente utilizados para ajudar a otimizar transições acentuadas de interface entre camadas de composição variável em dispositivos fotovoltaicos e de LED, monitorar a distribuição em profundidade de dopantes, controlar a contaminação indesejável que poderia afetar as propriedades elétricas dos compostos...