Skip to content

Materiais para Energia e Catálise (SIMS)

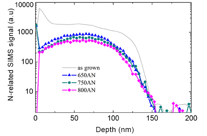
SIMS depth profiling of Nitrogen doping in Cu2O
O óxido cuproso (Cu2O), um semicondutor do tipo p, tem sido considerado um material promissor para a conversão de energia solar e fotocatálise de baixo custo. A dopagem com nitrogênio no Cu2O é um importante tópico de pesquisa devido a seu extraordinário potencial para superar a grande desvantagem do Cu2O - sua alta resistência. No entanto, ainda há alguma controvérsia em relação aos efeitos da dopagem com nitrogênio no Cu2O e ainda não foi alcançado um entendimento abrangente.

Este estudo relata um estudo comparativo da dopagem com nitrogênio em Cu2O. Perfis de profundidade de concentração de nitrogênio com SIMS dos filmes de Cu2O:N dopados com plasma de nitrogênio mostram: (i) incorporação de nitrogênio nos filmes, (ii) sua gradual difusão durante o recozimento. Os resultados sugerem que, para melhorar a condutividade do Cu2O:N, é necessário aumentar o nível de dopagem e/ou otimizar o processo de recozimento para equilibrar os processos de ativação e difusão externa.

O instrumento IMS 7f-Auto fornece uma distribuição em profundidade de elementos-traço (incluindo elementos leves) com excelente sensibilidade e alta resolução de profundidade, mantendo alto rendimento de análise. Este instrumento é usado rotineiramente para estudar os processos de difusão - segregação, críticos para o desenvolvimento de novos dispositivos semicondutores.

Dados coletados com o IMS 7f na Univ. Oslo (Noruega). From J. Li et al. NATURE Scientific Reports 4, 7240 (2014).